Research Summary for October 22, 2001
-
In the last
week's presentation, it has been seen that k-w turbulence model with
the Min-Mod limiter gives better results in terms of the grid convergence.
-
In addition to the previous
grids used (coarse, fine, and superfine), another grid was generated
(megafine grid) by increasing the number of superfine mesh points in the
x and y directions by a factor of 2 (figure 1).
-
Runs with k-w (Wilcox, 1998) and k-eps (Lam & Bremhorst)
turbulence models have been performed at Pe/P0i=0.72 for each grid.
-
The nozzle efficiencies and the shock locations are computed
for each grid and the turbulence model (figures 4 and 5).
-
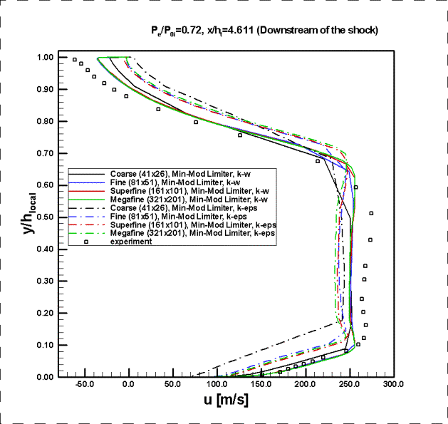
The u (velocity component in the x-direction) profiles at
x/ht=4.611 and the pressure distributions on the top and the bottom walls
of the duct were compared with the experimental data (figures 6 through
9). At this pressure ratio, there is a separated flow region after the
shock. None of the turbulence models approximate this region well,
however k-w model seems to give relatively better results than the k-eps
model.
Figures:
Figure 1. Megafine grid with 321 mesh points in x-direction
and 201 mesh points in y direction.
Figure 2. L2 norm residual convergence history for the
coarse, fine, superfine, and megafine grids with the Min-Mod limiter and
the k-w turbulence model. (Pe/P0i=0.72).
Figure 3. L2 norm residual convergence history for the
coarse, fine, superfine, and megafine grids with the Min-Mod limiter and
the k-eps turbulence model. (Pe/P0i=0.72).
Figure 4. Nozzle efficiencies obtained with different grids
and turbulence models.

Figure 5. Shock profiles obtained at Pe/P0i=0.72. Diamonds are used
for the coarse, circles for the fine, delta symbols for the superfine,
and the squares for the megafine grid results. Blue symbols are used for
the results obtained with the k-eps turb. model and the red symbols for
the results obtained with the k-w. turb. model.

Figure 6. u (velocity component in the x-direction) profile at x/ht=4.611
for Pe/P0i=0.72. Solid lines are used for k-w model and the dash-dotted
lines for the k-eps model. Experimental results are represented by the
squares. Black lines are used for the coarse, blue lines for the fine,
red lines for the superfine, and the green lines for the megafine grid
results.

Figure 7. u (velocity component in the x-direction) profile near
the upper wall at x/ht=4.611 for Pe/P0i=0.72. Solid lines are used for
k-w and the dash-dotted lines for the k-eps model. Experimental results
are represented by the squares. Black lines are used for the coarse, blue
lines for the fine, red lines for the superfine, and the green lines for
the megafine grid results.
Figure 8. Pressure distribution on the bottom wall of the
duct obtained at Pe/P0i=0.72. Solid lines are used for k-w and the dash-dotted
lines for the k-eps model. Experimental results are represented by the
squares. Black lines are used for the coarse, blue lines for the fine,
green lines for the superfine, and the purple lines for the megafine grid
results.

Figure 9. Pressure distribution on the top wall of the duct
obtained at Pe/P0i=0.72. Solid lines are used for k-w and the dash-dotted
lines for the k-eps model. Experimental results are represented by the
squares. Black lines are used for the coarse, blue lines for the fine,
green lines for the superfine, and the purple lines for the megafine grid
results.